Anoy2741824
注册
登录
我的账号
收藏夹
购物车
产品总览
生化试剂
分子生物学试剂
蛋白与免疫试剂
通用耗材
实验室仪器
服务与支持
新产品
关于我们
公 司 简 介
公 司 文 化
公 司 资 质
招 聘 信 息
联 系 方 式
帮 助 中 心
网上商城
网上商城
订单查询
收藏夹
购物车
帮助中心
×
搜索关键词需超过两位字符!
最近浏览记录
产品总览
生化试剂
氨基酸类
螯合剂
变性剂
表面活性剂
醇类
蛋白纯化试剂
蛋白电泳试剂
蛋白类
蛋白酶抑制剂
多聚物
多肽
辅酶
核酸酶抑制剂
还原剂
缓冲液
缓冲液粉包
激素类
即用型试剂
碱基/核苷
抗凝剂
抗生素/筛选试剂
抗生素溶液
酶标记物
酶底物
酶类
其他
染色剂指示剂
溶剂类
生物标记物
酸类
碳水化合物
糖类
维生素类
盐类
抑菌剂
诱导剂
植物激素类
植物培养试剂
酯类
分子生物学
DNA Marker
PCR试剂
核酸电泳缓冲液
核酸染料
连接酶
上样缓冲液
脱氧核苷酸
蛋白与免疫
蛋白提取/定量
蛋白电泳/Marker
蛋白Marker
Western Blot
通用耗材
PCR管
封板膜
离心管
瓶类
通用型透析袋夹子
透析袋
移液管
移液器吸头
实验室仪器
迷你高速离心机
脱色摇床
微孔板振荡器
微型离心机
涡旋混合器
涡旋仪
服务与支持
技术开发
技术服务
技术支持
查找COA
新产品
关于我们
公 司 简 介
公 司 文 化
公 司 资 质
招 聘 信 息
联 系 方 式
帮 助 中 心
网上商城
网上商城
订单查询
收藏夹
购物车
帮助中心
您现在的位置是:
首页
>
产品中心
产品中心
Products
生命科学
蛋白研究试剂
蛋白marker
蛋白电泳缓冲液
免疫印记试剂
分子生物学试剂
DNA Marker
PCR试剂
核酸电泳缓冲液
核酸染料
连接酶
上样缓冲液
脱氧核苷酸
免疫学试剂
单克隆抗体
生化试剂
氨基酸类
螯合剂
变性剂
表面活性剂
醇类
蛋白纯化试剂
蛋白电泳试剂
蛋白类
蛋白酶抑制剂
多聚物
多肽
辅酶
核酸酶抑制剂
还原剂
缓冲液
缓冲液粉包
激素类
即用型试剂
碱基/核苷
抗凝剂
抗生素/筛选试剂
抗生素溶液
酶标记物
酶底物
酶类
其他
染色剂指示剂
溶剂类
生物标记物
酸类
碳水化合物
糖类
维生素类
盐类
抑菌剂
诱导剂
植物激素类
植物培养试剂
酯类
实验室耗材
PCR管
封板膜
离心管
瓶类
通用型透析袋夹子
透析袋
移液管
移液器吸头
实验室仪器
迷你高速离心机
脱色摇床
微孔板振荡器
微型离心机
涡旋混合器
涡旋仪
细胞培养试剂
细胞染色剂
GPC产品搜索结果:显示 61 - 18 of 78 Results
1
...
3
4
AC750
收藏
蔗糖 (不含RNA酶和DNA酶)
(英文名称:SUCROSE, RNase & DNase Free)
CAS no.
57-50-1
分子量:342.3
分子式:C12H22O11
AC799
收藏
木糖醇
(英文名称:XYLITOL)
CAS no.
87-99-0
分子量:152.15
分子式:C5H12O5
AC823
收藏
海藻糖二水
(英文名称:TREHALOSE DIHYDRATE)
CAS no.
6138-23-4
分子量:378.33
分子式:C12H22O11·2H2O
AC859
收藏
D-密二糖
(英文名称:D-MELIBIOSE)
CAS no.
585-99-9
分子量:342.3 (Anhydrous)
分子式:C12H22O11·xH2O
AC878
收藏
D-塔格糖
(英文名称:D-TAGATOSE)
CAS no.
87-81-0
分子量:180.16
分子式:C6H12O6
AC901
收藏
高分辨率琼脂糖
(英文名称:AGAROSE HR)
CAS no.
39346-81-1
AC905
收藏
普鲁兰多糖
(英文名称:PULLULAN)
CAS no.
9057-02-7
AC923
收藏
D-半乳糖(植物来源)
(英文名称:D-GALACTOSE)
CAS no.
59-23-4
分子量:180.16
分子式:C6H12O6
AC927
收藏
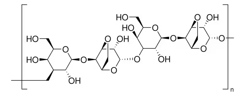
葡聚糖(右旋糖酐) 分子量 270000
(英文名称:DEXTRAN 270)
CAS no.
9004-54-0
分子量:~270,000
分子式:(C6H10O5)n
AC992
收藏
D-海藻糖 无水
(英文名称:D-TREHALOSE ANHYDROUS)
CAS no.
99-20-7
分子量:342.30
分子式:C12H22O11
AS018
收藏
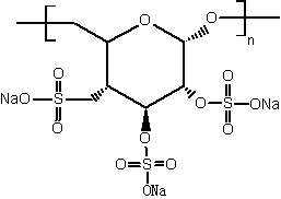
硫酸葡聚糖钠 MW:20000
(英文名称:DEXTRAN SULFATE SODIUM SALT 20)
CAS no.
9011-18-1
分子量:~20,000
分子式:(C6H7Na3O14S3)n
AS111
收藏
硫酸葡聚糖钠 MW:3000
(英文名称:DEXTRAN SULFATE SODIUM SALT 3)
CAS no.
9011-18-1
分子量:~3,000
分子式:(C6H7Na3O14S3)n
AS118
收藏
硫酸葡聚糖钠 MW:8000
(英文名称:DEXTRAN SULFATE SODIUM SALT 8)
CAS no.
9011-18-1
分子量:~8,000
分子式:(C6H7Na3O14S3)n
AS150
收藏
硫酸葡聚糖钠 MW:15000
(英文名称:DEXTRAN SULFATE SODIUM SALT 15)
CAS no.
9011-18-1
分子量:~15,000
分子式:(C6H7Na3O14S3)n
AS207
收藏
D-葡萄糖醛酸钠
(英文名称:D-GLUCURONATE SODIUM MONOHYDRATE)
CAS no.
207300-70-7
分子量:234.14
分子式:C6H9NaO7·H2O
AS901
收藏
硫酸葡聚糖钠 MW:500,000
(英文名称:DEXTRAN SULFATE SODIUM SALT 500)
CAS no.
9011-18-1
分子量:~500,000
分子式:(C6H7Na3O14S3)n
AS902
收藏
硫酸葡聚糖钠 MW:40000
(英文名称:DEXTRAN SULFATE SODIUM SALT 40)
CAS no.
9011-18-1
分子量:~40,000
分子式:(C6H7Na3O14S3)n
AS903
收藏
硫酸葡聚糖钠 MW:5000
(英文名称:DEXTRAN SULFATE SODIUM SALT 5)
CAS no.
9011-18-1
分子量:~5,000
分子式:(C6H7Na3O14S3)n
1
...
3
4
官方直营
GPC正品保证
货票同行
货到票到,安心保障
专业售后
专业客服,贴心解答
全国配送
顺丰快递 无区域局限
产品中心
PCR, RT-PCR, qPCR, qRT-PCR
快速内切酶和修饰酶
DNA 分子量标准
基因克隆与点突变
核酸纯化
蛋白提取、纯化及检测
蛋白分子量标准
外泌体
常用抗体
仪器
服务与支持
快速下载
友情客服
技术讲座资料下载
产品FAQ
视频中心
走进金普赛思
公司简介
企业文化
公司资质
联系我们
人才招聘
地址:北京市海淀区土井村东2号楼1层116室
E-mail:
客服热线:010-82872118,021-61807279
京ICP备19045181号-1
北京金普赛思生物技术有限公司 |
经营证照
地址:北京市海淀区土井村东2号楼1层116室; 电话:010-82872118,021-61807279